

Самозарядный карабин "Фольксштурм" ФГ-45, работающий по принципу Барнетцке
О самом конструкторе Барнетцке сведений крайне мало. Встречаются различные варианты написания его фамилии — Барнитцке, Барницке и даже Барницкий.
Из некоторых источников, в том числе зарубежных, нам удалось узнать о талантливом немецком конструкторе совсем немного. Во время второй мировой войны офицер немецкой армии Барнетцке работал главным конструктором на "Густлофф-Верке" в городе Зуле. В рамках реализации проекта Ф-7082 он разработал пистолет "Фолькспистоле", схема работы которого была основана на отборе части пороховых газов для замедления отпирания затвора. Иногда в специальной литературе этот пистолет называют "Густлов".
Некоторые исследователи приписывают создание этой модели фирме "Вальтер". В других зарубежных изданиях можно встретить информацию о том, что пистолет "Густлов" является прототипом "Фолькспистоле", созданного предприятием "Маузер-Верке" в Оберндорфе. Одновременно с пистолетом "Густлов" в Германии был разработан самозарядный карабин "Фольксштурм" ФГ-45, работающий по тому же принципу.

Пистолет "Штайр ГБ80"
В послевоенное время периодически создавались образцы, в которых использовался данный принцип. Одним из примеров его реализации может быть пистолет "Штайр" ГБ 80. Рассмотрим воздействие пороховых газов на затвор при выстреле в системах оружия, созданных по принципу Барнетцке. Согласно ГОСТ 28653-90 "Оружие стрелковое. Термины и определения", полусвободный затвор стрелкового оружия — затвор , встречающий сопротивление при движении назад за счет связи со ствольной коробкой.
Рассмотрим устройство и работу этой системы на схемах 1 и 2, где
øС — диаметр канала ствола (в нашем случае 9 мм);
øЦз — диаметр цилиндра замедлителя;
fрt— усилие, производимое гильзой на затвор в конкретный момент времени t;
fзt— усилие воздействия на затвор, предаваемое через поршень подствольного цилиндра замедлителя в конкретный момент времени t;
pt— давление пороховых газов в каждый конкретный момент времени t;


Ствол (1) жестко соединен с рамкой и охвачен затвором (2)(рис. А). В передней части затвора расположена втулка (3), которая вместе с проточкой на стволе образует полость цилиндра замедления (7). Полость цилиндра с торцов закрыта уплотнительными кольцами (5 и 6). После выстрела (рис. Б) пороховые газы через отверстие (4) в стенке ствола поступают в цилиндр и замедляют откат затвора. Преодолевая сопротивление пороховых газов, затвор откатывается назад, переднее уплотнительное кольцо (5) выходит на проточку ствола, газам открывается выход наружу, т.е. происходит сброс давления и затвор переходит в режим свободного затвора.
Поскольку fрt— усилие открывания затвора, а fзt— усилие, препятствующее открыванию затвора, их векторы направлены в противоположные стороны.
Необходимым условием для работы данной системы с упругим запиранием (см. схему 1) является:

Это условие запирания действительно при одинаковом pt. На самом деле в начальный момент выстрела давление в стволе pсtбольше, чем давление в полости цилиндра pЦзt. Затем оно выравнивается и через некоторый промежуток времени pЦзtстановится больше, чем pсt. Данное явление объясняется инерционностью и определяется конкретным диаметром перепускного отверстия. Чем больше диаметр перепускного отверстия, тем больше вероятность временного равенства давления, когда pct= pЦзt. При слишком больших значениях диаметра может возникнуть случай, когда затвор не откроется совсем.
Рассмотрим случай, представленный на схеме 2.

Это необходимое условие замедления затвора. К примеру, øС = 9 мм, а øЦз = 7 мм. В этом случае 72/92= 49/81~ 0,6. Полученное значение замедления можно условно обозначить как 60 %.
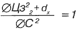
Определим минимально необходимую условную силу fх, воздействующую на затвор при отпирании, то есть выясним — какому калибру она эквивалентна?
Для упрощения расчетов примем:

где dх — диаметр эквивалентного калибра.
Исключив из приведенной формулы постоянные величины, получим

Из чего следует:

Следовательно, при правильном подборе перепускного отверстия, можно получить величину отдачи на уровне отдачи при выстреле малокалиберным патроном.
Соотношение сил fзt/fрt, необходимое для полного запирания, с учетом потерь динамических факторов, сжимаемости газов, разности их температур в стволе и цилиндре в конкретный момент времени, находится в пределах 1,25–1,35. Очевидно, что важнейшую роль играет качество и точность изготовления поршня и цилиндра замедлителя.

С учетом сделанных допущений результат расчетов по данной методике достаточно приблизителен. Проверка результатов расчетов была осуществлена на примитивной измерительной технике, имеющейся в распоряжении авторов.
Тем не менее, предполагается, что данная методика вполне может использоваться при проведении предварительных расчетов в процессе конструирования систем с замедлением отката или запиранием затвора пороховыми газами.